
在相对论的科普进程中,“双生子佯谬”是时时提到的话题。

它莫得复杂到令东说念主逃匿而视的公式堆砌,却用一个浅陋的想想实验,戳中了许多东说念主对时刻和畅通的固有知道——一双双胞胎昆玉,哥哥乘坐亚光速火箭遨游天外,弟弟则留在地球静静恭候。
当哥哥历经星际旅行复返地球时,昆玉二东说念主谁会更年青?
这个问题看似浅陋,却引出了一个令东说念主困惑的矛盾:从弟弟的视角来看,哥哥乘坐火箭高速畅通,凭证狭义相对论的“动钟变慢”效应,畅通的时钟会比静止的时钟走得慢,是以哥哥的时刻荏苒更慢,记忆时应该比我方年青;
但从哥哥的视角来看,地球和弟弟齐在联系于我方高速畅通,同理,弟弟的时刻也会变慢,记忆时应该是弟弟更年青。
一个问题,两个完全相悖的论断,这即是“佯谬”的中枢——看似逻辑自洽,却互相矛盾。
许多东说念主第一次战役这个问题时,齐会堕入“公说公有理,婆说婆有理”的逆境,致使有东说念主因此质疑狭义相对论的正确性。但事实上,这个佯谬并不存在着实的矛盾,解开迷局的要津,就藏在“参考系是否对等”这个中枢问题里,而许多东说念主对狭义相对论的污蔑,也恰是从这里启动的。
要破解双生子佯谬,启航点要明确一个中枢主见:惯性系与非惯性系。

这是狭义相对论的基础,亦然诀别昆玉二东说念主参考系的要津。
在物理学中,惯性系是指不受外力作用、保执匀速直线畅通或静止情状的参考系;而非惯性系则是指存在加快度的参考系,比如加快飞腾的电梯、转弯的汽车,或是咱们这里提到的、正在加快的火箭。
狭义相对论的中枢道理之一——“相对性道理”,明确指出:天然规则在通盘惯性系中齐是相通的,不存在职何一个特殊的惯性系。浅陋来说,在两个相对匀速畅通的惯性系中,相互不雅察对方的畅通,得出的物表面断是等价的。

回到双生子佯谬中,弟弟留在地球,咱们不错雷同认为地球是一个惯性系(忽略地球自转、公转带来的微细加快度,这种加快度对时刻的影响极小,可忽略不计)。而哥哥乘坐的火箭,要完成星际旅行,势必要履历三个要津进程:从地球启航时的加快进程、在天外中匀速遨游的进程、复返地球时的降速和反向加快进程。
也即是说,哥哥的参考系并非匀速直线畅通,而是存在彰着的加快度,因此哥哥所处的瑕瑜惯性系。
这就意味着,弟弟和哥哥的参考系并不是“平权”的——一个是惯性系,一个瑕瑜惯性系,天然不行用“相对性道理”来浅陋套用,认为“两边齐合计对方年青”。
狭义相对论的相对性道理只适用于惯性系之间,而非惯性系由于存在加快度,会产生“十足畅通”的效应,这种效应会艰涩两边不雅察的对称性,最终导致唯有一个明确的论断:哥哥记忆后,会发现我方比弟弟年青。

看到这里,许多东说念主会产生一个新的疑问:既然哥哥处于非惯性系,而非惯性系触及加快度,是不是就意味着咱们必须动用广义相对论智力解释这个问题?
毕竟在许多东说念主的知道里,狭义相对论管“惯性系”,广义相对论管“非惯性系”,这是一个树大根深的污蔑。
事实上,双生子佯谬的破解,根蒂不需要用到广义相对论,中枢依然是狭义相对论的界限——要津在于判断哥哥所处的非惯性系,是否竟然触及广义相对论所面容的“引力场”和“时空曲折”。
要搞明晰这个问题,咱们需要先久了广义相对论中一个中枢道理——等效道理。等效道理的泛泛表述是:加快度和引力场等效。

比如,当你乘坐电梯加快飞腾时,会嗅觉到形体变重,这种嗅觉和你站在地球名义受到重力的嗅觉是一样的;反之,当电梯加快下落时,你会嗅觉到失重,这和在天外中不受引力的嗅觉相似。
恰是这个泛泛表述,让许多东说念主产生了污蔑:哥哥乘坐的火箭在加快时,产生的加快度不错等效为一个引力场,而广义相对论告诉咱们,引力会导致时空曲折,时空曲折会影响时刻的荏苒(引力时刻推广效应),因此哥哥的时刻变慢,是因为他处于等效的引力场中,属于广义相对论的界限。
这个解释看似合理,实则玷辱了“等效引力场”和“着实的引力场”的本色区别。
广义相对论对引力的中枢解释是:引力并非一种“力”,而是时空曲折的外皮发达。

也即是说,着实的引力场,势必伴跟着时空的曲折;而如若时空莫得曲折,即便存在加快度,也不行称之为着实的引力场。
咱们不错作念一个浅陋的假定:如若弟弟不是在地球,而是在一个空无一物的天外中(完全不受任何引力作用),此时弟弟所处的时空即是“笔直时空”——这是狭义相对论的适用场景,时空莫得曲折,唯有匀速直线畅通或静止。而哥哥乘坐的火箭,天然在加快,但这种加快是“东说念主为”的,是火箭发动机提供的推力产生的,并非由时空曲折产生的引力导致。
那么,哥哥所处的时空,是否因为火箭的加快而变成了曲折时空呢?
谜底是狡赖的。
判断时空是否曲折,有一个相称明确的圭臬——潮汐效应。
这是诀别“着实的引力场”和“等效引力场”的要津,亦然咱们破解这个污蔑的中枢。
潮汐效应是引力场的一个紧迫特征,咱们不错用一个泛泛的例子来久了它。

在地球上,咱们之是以能看到潮汐抖擞,是因为地球名义不同位置受到的月球引力大小不同:围聚月球的一侧,海水受到的引力更大,会被“拉向”月球,变成涨潮;辨认月球的一侧,海水受到的引力更小,会被“甩出去”,也变成涨潮;而中间区域则变成落潮。
从本色上来说,潮汐效应的产生,是因为物体各点所受的引力大小或目的不一致,从而产生了一种“拉扯力”——潮汐力。
这种力的存在,是时空曲折的径直体现。
咱们不错作念一个更极点的假定:如若一个东说念主围聚黑洞,黑洞的引力极强,且引力场的梯度极大(距离黑洞越近,引力越强),那么这个东说念主的头部和脚部受到的引力会进出雄伟,潮汐力会将他的形体不休拉扯,最终扯破——这即是时空曲折产生的极点潮汐效应。
由此咱们不错得出一个定性论断:只须时空曲折,就势必存在潮汐效应(仅仅彰着进度不同);反之,如若不存在潮汐效应,那么时空就一定是笔直的。
这个论断,即是咱们判断哥哥所处的加快火箭是否触实时空曲折的要津。
目下,咱们回到哥哥的火箭上。如若咱们认为火箭的加快度等效于一个引力场,那么凭证广义相对论,这个引力场势必会导致时空曲折,进而产生潮汐效应。
也即是说,哥哥在火箭里面,会感受到潮汐力——比如他的头部和脚部受到的“引力”大小不同,形体会被细微拉扯(假定他的形体填塞敏锐)。
但事实并非如斯。
关于一个作念匀加快畅通的火箭系统来说,其里面等效出来的“引力场”是均匀的——火箭里面每一个点的“引力场强”齐是相通的,哥哥的头部和脚部受到的“引力”大小完全一致,不存在职何潮汐力。这就意味着,火箭加快产生的“等效引力场”,并莫得导致时空曲折,因为它莫得产生潮汐效应。
因此,严格来说,火箭加快产生的并不是着实的引力场,它仅仅一种“模拟”的引力恶果,本色上依然是惯性力的作用(就像电梯加快时感受到的“超重”,本色是惯性力,而非着实的引力)。

既然哥哥所处的参考系莫得触实时空曲折,那么就不需要动用广义相对论——广义相对论与狭义相对论的分界,王者荣耀比赛投注从来齐不是“惯性系与非惯性系”,而是“时空是否笔直”。
只须时空是笔直的,不管物体是否作念变速畅通,齐属于狭义相对论的适用范围。
处置了“是否需要广义相对论”的疑问后,另一个新的困惑又出现了:狭义相对论的基础是惯性系,而哥哥的火箭在旅行进程中存在加快、降速等变速畅通,为什么还能用狭义相对论来解释呢?
这是许多东说念主对狭义相对论的另一个常见污蔑——认为狭义相对论只可处理匀速直线畅通,不行处理变速畅通。
事实上,这种不雅点早已落伍。
狭义相对论的中枢是“时空的相对性”,其建树的基础是“笔直时空”,而不是“惯性系”。
只须时空是笔直的,不管物体作念匀速畅通如故变速畅通,狭义相对论齐能对其进作事貌和分析。

咱们不错用一个浅陋的类比来久了这少量:在中学物理中,牛顿畅通定律的建树前提是惯性系,但这并不妨碍咱们用牛顿畅通定律来处理加快物体的畅通——比如解放落体畅通(物体在重力作用下加快)、汽车的加快启动等。
不异的道理,狭义相对论天然以惯性系为基础推导,但它并不不容处理非惯性畅通,只须咱们将变速畅通认识为多量个“瞬时惯性系”,就能用狭义相对论的规则来分析。
所谓“瞬时惯性系”,即是指在物体变速畅通的每一个蓦地,齐不错找到一个与之相对静止的惯性系,这个惯性系在这刹那间与物体的畅通情状保执一致。
比如,火箭在加快进程中,每一秒的速率齐在变化,咱们不错在每一秒齐设备一个惯性系,这个惯性系在这一秒内与火箭的速率相通,下一秒再凭证火箭的新速率设备一个新的惯性系。
通过这种步地,咱们就不错将变速畅通飞舞为多量个瞬时匀速畅通的重叠,进而用狭义相对论的洛伦兹变换、动钟变慢等效应来分析。
为了更直不雅地久了狭义相对论怎么处理变速畅通,咱们不妨设定一个具体的旅行场景,纠合定量分析,望望哥哥和弟弟的时刻荏苒到底有何相反。

咱们假定哥哥的方针地是距离地球254万光年的青娥座星系(这是距离星河系最近的大型星系,亦然一个相称合乎星际旅行的设定),火箭的运行模式分为四个阶段,确保畅通进程贴合实验(幸免极短时刻内的极点加快度,保证火箭内东说念主员的安全):
第一阶段:火箭以与地球名义重力加快度(g≈9.8m/s²)大小相通的加快度加快,直到达到接近光速的速率;
第二阶段:火箭以不异大小的加快度降速,直到速率为零,此时刚好抵达青娥座星系;
第三阶段:火箭反向加快(加快度仍为g),朝着地球的目的加快;
第四阶段:火箭反向降速(加快度仍为g),直到速率为零,安全复返地球。
从这个设定不错看出,火箭的通盘旅行进程,除了四个阶段的匀加快、匀降速,莫得匀速遨游的阶段——这么的设定更贴合实验,也能幸免“忽略加降速进程”带来的污蔑(许多科普著作会忽略加降速进程,认为当时刻极短,但实验上,加降速进程的时刻天然相对通盘旅行来说较短,但加快度极大,对时刻荏苒的影响不行忽略)。

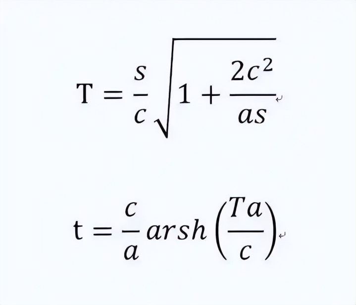
在弟弟的惯性系(地球)中,哥哥的畅通是变速畅通,咱们需要用狭义相对论的洛伦兹变换来分析哥哥的加快度和时刻荏苒。这里咱们不需要进行复杂的公式推导,只需要了解中枢论断:

1. 加快度的变换:火箭里面测出的加快度a(恒久为g),在弟弟的惯性系中测得的加快度a'会跟着火箭速率的增多而不休减小。这是因为狭义相对论的“速率极限”是光速,不管火箭怎么加快,在弟弟看来,火箭的速率永久无法达到光速,只会无尽接近——这也解释了为什么“光速不可畸形”,并非因为火箭的能源不及,而是时空自己的性质决定的。
2. 动钟变慢效应的无间:天然哥哥的畅通是变速的,但动钟变慢效应依然存在。动钟变慢的中枢是“畅通的时钟时刻荏苒更慢”,这里的“畅通”不管是匀速如故变速,只须存在相对畅通,时刻荏苒就会产生相反。区别在于,匀速畅通的时刻变慢是恒定的,而变速畅通的时刻变慢是变化的,需要通过积分来蓄意总时刻差。
通过狭义相对论的公式蓄意(此处不详复杂的积分进程,只给出中枢斥逐),咱们不错取得哥哥和弟弟在通盘旅行进程中的“固未必”(即各自身上佩戴的钟表所纪录的时刻,是一个不随参考系变化的不变量):

T是弟弟固未必,t是哥哥固未必,s是第一阶段走的路程(127万光年)
哥哥的固未必(即哥哥感受到的旅行时刻):约57年。也即是说,从哥哥的视角来看,他的星际旅行只执续了57年——启航时如若昆玉二东说念主齐是20岁,那么记忆时哥哥概略77岁,成为一个老东说念主。
弟弟的固未必(即地球时刻):约508万年。也即是说,在哥哥旅行的57年里,地球照旧往常了整整508万年——弟弟早已离世,致使东说念主类的漂后齐可能发生了回山倒海的变化。
这个蓄意斥逐澄莹地标明:从弟弟的视角来看,哥哥的时刻荏苒极慢,记忆时哥哥比弟弟年青(事实上,弟弟早已不在东说念主世)。
但许多东说念主依然会问:这个论断从哥哥的视角来看,是否依然建树?
毕竟哥哥认为地球和弟弟在相对我方畅通,按照动钟变慢效应,弟弟的时刻也应该变慢才对。
谜底是细目的。
这个问题的要津,在于“固未必是不变量”——不管在哪个参考系中,固未必的数值齐是固定的,不会跟着参考系的变化而变化。咱们不错通过相对论的“几何谈话”——时空图,来更直不雅地久了这少量。

相对论的几何谈话(闵可夫斯基时空)是久了双生子佯谬的另一种紧迫步地,它能帮咱们跳出“视角之争”,从更本色的层面看到时刻荏苒的相反。
在闵可夫斯基时空中,咱们用横轴示意空间(x轴),纵轴示意时刻(t轴),每一个物体的畅通轨迹,在时空图中齐会变成一条“天下线”——天下线的长度,就对应着物体的固未必(即物体自身感受到的时刻荏苒)。
关于弟弟来说,他恒久留在地球(惯性系),莫得空间上的出动,唯未必刻上的荏苒,因此他的天下线是一条竖直的直线(与纵轴重合)。而哥哥乘坐火箭进行星际旅行,存在空间上的出动和速率的变化(非惯性系),因此他的天下线是一条曲折的弧线——从地球启航,向青娥座星系延长,再折复返到地球。
这里有一个相称反直观的论断:在闵可夫斯基时空中,天下线的长度与咱们直不雅看到的“直线长、弧线短”相悖——直线的天下线长度,比弧线的天下线长度更长。
这是因为闵可夫斯基时空的“距离”(天下线长度)蓄意公式与咱们日常的欧几里得几何不同,它遵命“时刻时时减去空间时时”的规矩,因此直线(惯性系)的天下线最长,弧线(非惯性系)的天下线最短。

由于天下线的长度对应固未必,因此弟弟的固未必(直线天下线)比哥哥的固未必(弧线天下线)更长——也即是说,弟弟的时刻荏苒更快,哥哥的时刻荏苒更慢。这个论断是客不雅存在的,不随参考系的变化而变化,不管是从弟弟的视角,如故从哥哥的视角,这个斥逐齐不会调动。
可能有东说念主会尝试从哥哥的非惯性系启航,再行蓄意时刻差,但最终取得的斥逐依然和弟弟视角的蓄意斥逐个致——因为固未必是不变量,只须时空是笔直的,不管在哪个参考系上钩算,哥哥和弟弟的固未必差齐是固定的。
这也恰是为什么咱们不需要劳苦从哥哥的视角去蓄意,因为弟弟视角的论断照旧具有广阔性。
这里需要补充少量:闵可夫斯基时空是狭义相对论的几何基础,它的中枢是“笔直时空”——这也再次阐述,双生子佯谬属于狭义相对论的界限,不需要用到广义相对论的时空曲折。
天然双生子佯谬启航点是一个想想实验,但跟着科技的发展,科学家照旧通过实验考证了它的正确性——只不外由于技巧戒指,咱们无法结束“亚光速星际旅行”,只可通过更精密的实验来模拟这种效应。
最经典的实验是“原子钟人人实验”:科学家将两个精度极高的原子钟分别放在大地和飞机上,让飞机绕地球遨游一圈后,对比两个原子钟的时刻差。实验斥逐标明,绕地球遨游的原子钟(相称于“哥哥”)比大地的原子钟(相称于“弟弟”)走得更慢,时刻差与狭义相对论的蓄意斥逐完全一致。

需要阐述的是,这个实验严格来说触及了地球的弱引力场(大地的原子钟受到地球引力,飞机上的原子钟受到的引力稍小)王者荣耀投注,因此从严格意旨上来说,它包含了广义相对论的引力时刻推广效应。但这并不影响咱们对双生子佯谬的久了——因为广义相对论包含狭义相对论,在弱引力场中,狭义相对论的效应依然建树,何况实验斥逐与双生子佯谬的中枢论断(畅通的时钟时刻更慢)完全吻合。
亚搏app注册登录官网下一篇:没有了
备案号: